Votre demande d’ouverture de compte de dépôt accessible et rapide pour tous, vous êtes à un pas de votre compte.
En fonction de votre profil, de vos besoins, de vos projets, trouvez la formule d’ouverture de compte bancaire (1) qui vous correspond !

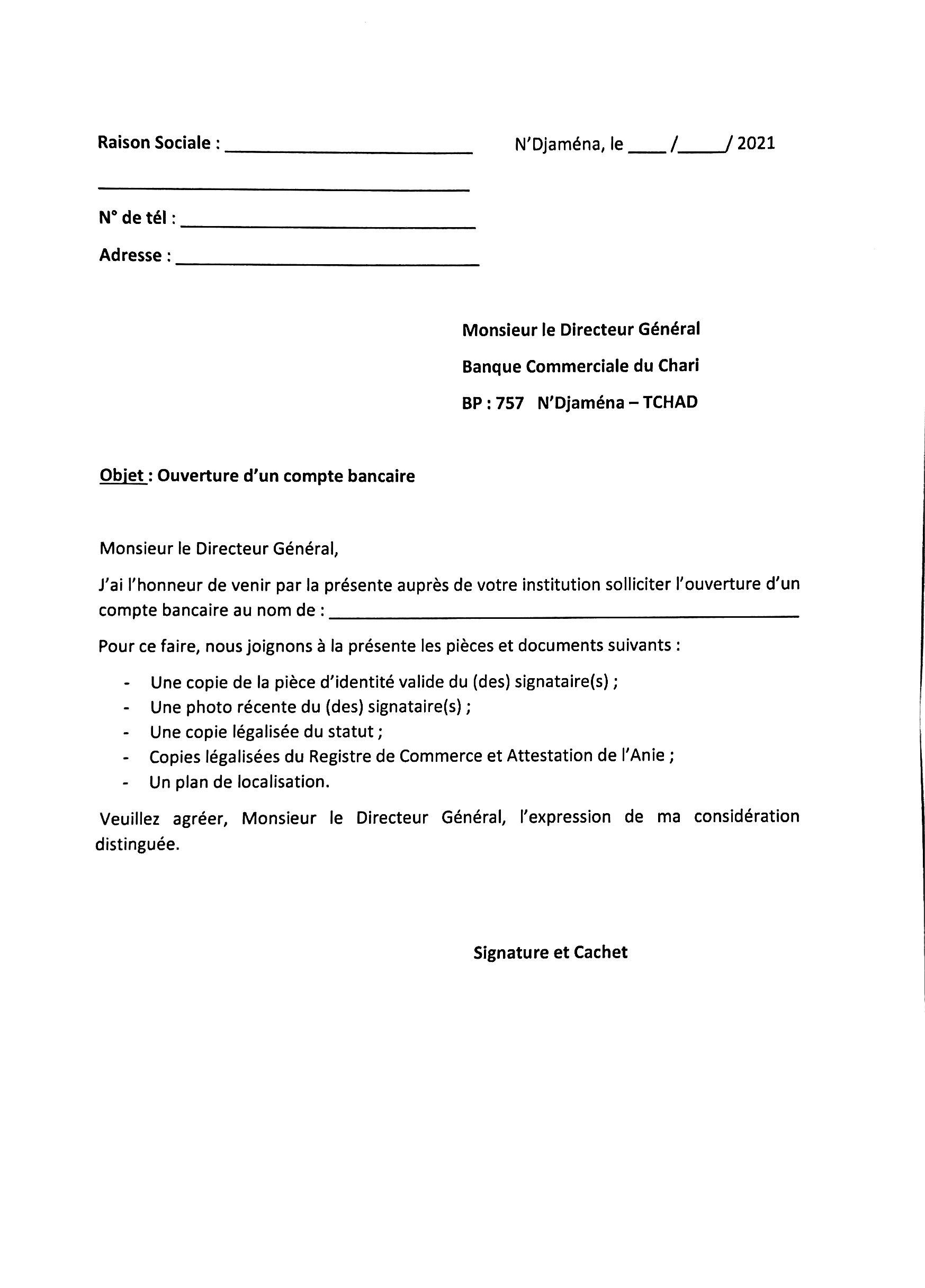
Les documents à préparer pour ouvrir votre compte bancaire au Tchad :
Je télécharge la fiche me concernant (personne physique ou morale) et le spécimen de signature, puis je remplis les différents documents.
Il vous suffit de renseigner vos coordonnées, sélectionner le compte de dépôt à ouvrir (individuel ou joint), les produits et services choisis ainsi que d’indiquer l’agence où sera domicilié votre compte de dépôt (agence physique de votre choix)
Je dépose mes pièces justificatives
Préparez les documents suivant le compte souhaitez (compte entreprise, compte personnel, compte épargne…), une liste des documents à fournir selon le besoin est disponible ci-dessous :
Attention : Tout dossier incomplet ne sera pas traité.Je deviens client BCC !
Finalisez votre demande d’ouverture de compte de dépôt avec un versement initial minimum de 50.000 FCFA pour profiter des différents services (carte, chéquier, …) que propose la BCC a ses clients.
Ouvrez votre compte sans plus attendre !!